平方和公式
的有关信息介绍如下:
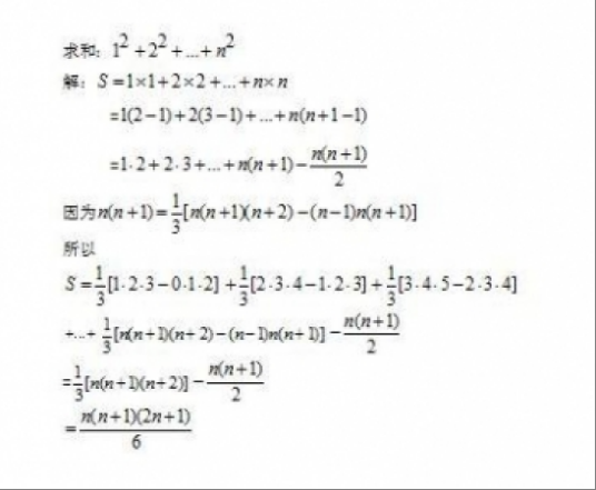
平方和公式是一个比较常用公式,用于求连续自然数的平方和(Sum of squares),其和又可称为四角锥数,或金字塔数(square pyramidal number)也就是正方形数的级数。
此公式是冯哈伯公式(Faulhaber's formula)的一个特例。
想要了解更多“平方和公式”的信息,请点击:平方和公式百科

平方和公式是一个比较常用公式,用于求连续自然数的平方和(Sum of squares),其和又可称为四角锥数,或金字塔数(square pyramidal number)也就是正方形数的级数。
此公式是冯哈伯公式(Faulhaber's formula)的一个特例。
想要了解更多“平方和公式”的信息,请点击:平方和公式百科