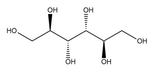
您的位置首页生活百科 甘露醇 Simone 发布于 2025-10-06 12:05:40 862 阅读 甘露醇的有关信息介绍如下:甘露醇,化学式为C6H14O6,是一种糖醇,是山梨糖醇的同分异构体,易溶于水,为白色结晶性粉末,有类似蔗糖的甜味。想要了解更多“甘露醇”的信息,请点击:甘露醇百科