克林霉素磷酸酯
的有关信息介绍如下:
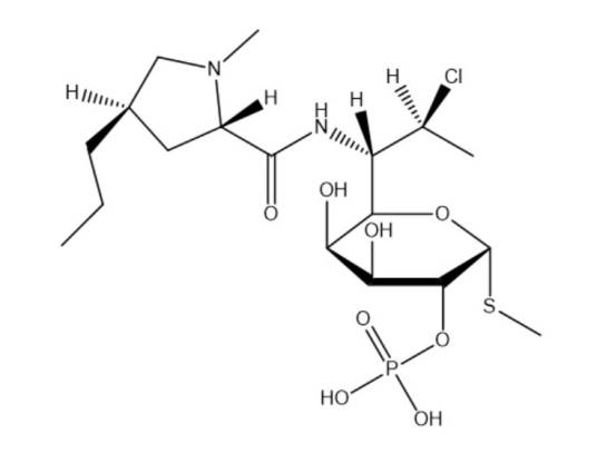
克林霉素磷酸酯,是一种有机化合物,化学式为C18H34ClN2O8PS,是一种抗生素类药,为克林霉素衍生物,体外无抗菌活性,进入机体迅速水解为克林霉素而显示其药理活性,故抗菌谱、抗菌活性及治疗效果与克林霉素相同,但脂溶性及渗透性优于克林霉素,可口服,也可肌注和静滴给药。
想要了解更多“克林霉素磷酸酯”的信息,请点击:克林霉素磷酸酯百科

克林霉素磷酸酯,是一种有机化合物,化学式为C18H34ClN2O8PS,是一种抗生素类药,为克林霉素衍生物,体外无抗菌活性,进入机体迅速水解为克林霉素而显示其药理活性,故抗菌谱、抗菌活性及治疗效果与克林霉素相同,但脂溶性及渗透性优于克林霉素,可口服,也可肌注和静滴给药。
想要了解更多“克林霉素磷酸酯”的信息,请点击:克林霉素磷酸酯百科