柯西中值定理
的有关信息介绍如下:
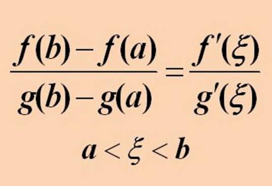
柯西中值定理是拉格朗日中值定理的推广,是微分学的基本定理之一。其几何意义为,用参数方程表示的曲线上至少有一点,它的切线平行于两端点所在的弦。该定理可以视作在参数方程下拉格朗日中值定理的表达形式。
柯西中值定理粗略地表明,对于两个端点之间的给定平面弧,至少有一个点,使曲线在该点的切线平行于两端点所在的弦。
想要了解更多“柯西中值定理”的信息,请点击:柯西中值定理百科

柯西中值定理是拉格朗日中值定理的推广,是微分学的基本定理之一。其几何意义为,用参数方程表示的曲线上至少有一点,它的切线平行于两端点所在的弦。该定理可以视作在参数方程下拉格朗日中值定理的表达形式。
柯西中值定理粗略地表明,对于两个端点之间的给定平面弧,至少有一个点,使曲线在该点的切线平行于两端点所在的弦。
想要了解更多“柯西中值定理”的信息,请点击:柯西中值定理百科