铜棒重量计算公式
的有关信息介绍如下:铜棒的重量约1.千克。
计算过程:
知道“直径”和“长度”就可以计算体积了。
公式:体积=圆柱的底面积*高=3.14*半径*半径*高。
半径=直径/2
所以:体积=3.14*55/2*55/2*56=132979立方毫米=132.979立方厘米。
一立方厘米铜的质量是:8.9克。
132.979*8.9=1183.51克=约1.2千克。

扩展资料:
体积公式是用于计算体积的公式,即计算各种几何体体积的数学算式。比如:圆柱、棱柱、锥体、台体、球、椭球等。
体积公式:计算各种由平面和曲面所围成。
一般来说一个几何体是由面、交线(面与面相交处)、交点(交线的相交处或是曲面的收敛处)而构成的图形的体积的数学算式 。
下面是各种不同图形体积计算公式:
长方体:
(长方体体积=长×宽×高)
正方体:
(正方体体积=棱长×棱长×棱长)
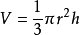
圆柱(正圆):
【圆柱(正圆)体积=圆周率×(底半径×底半径)×高】
以上立体图形的体积都可归纳为:
(底面积×高)
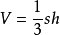
圆锥(正圆):
【圆锥(正圆)体积=圆周率×底半径×底半径×高/3】
角锥:
【角锥体积=底面积×高/3】
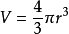
球体:
【球体体积=4/3(圆周率×半径的三次方)】
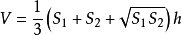
棱台:
注:V:体积;S1:上表面积;S2:下表面积;H:高。
物理公式:

参考资料来源:百度百科--铜棒
参考资料来源:百度百科--体积



