龙葵素
的有关信息介绍如下:
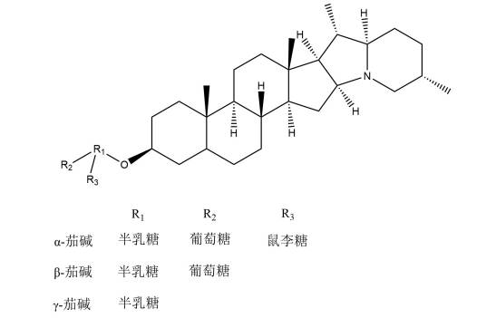
龙葵素(Solanine)是马铃薯发芽、变绿、溃烂后产生的一种有毒物质。是一类有毒的甾体糖苷生物碱,分为α、β、γ三种,毒性较强,猪食后会中毒,人食入0.2~0.4g即可引起中毒。马铃薯植株和块茎中主要是茄碱(α-solanine)和卡茄碱(Chaconine)两大类。
每100g马铃薯中茄碱含量,嫩芽高达500mg,外皮达30~64mg,全块茎(去芽及去皮后)约7.5~10mg。经煮熟后能解除毒性,加酸也能分解,用醋调味有解毒作用。 成熟的马铃薯中龙葵素的含量较低,可以安全食用。而未成熟的或因贮存时接触阳光引起表皮变绿和发芽的马铃薯中含有大量的龙葵素,食用后可能引起急性中毒。
想要了解更多“龙葵素”的信息,请点击:龙葵素百科



