头孢噻肟钠
的有关信息介绍如下:
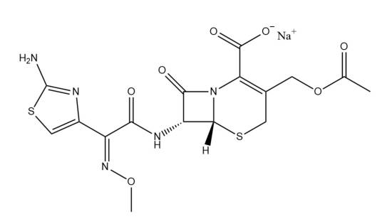
头孢噻肟钠(Cefotaxime sodium),是一种有机化合物,化学式为C16H16N5NaO7S2,为第三代半合成头孢菌素,对革兰阳性菌的作用不如头孢唑林,肠球菌对本品耐药,对耐青霉素的肺炎球菌无效,对革兰阴性菌有强大的杀菌活性,对大肠杆菌、流感杆菌、肺炎杆菌、奇异变形杆菌、沙门菌属的抗菌作用较头孢哌酮强,对脆弱拟杆菌作用弱或耐药,铜绿似单胞菌、阴沟肠杆菌对本品不敏感。
想要了解更多“头孢噻肟钠”的信息,请点击:头孢噻肟钠百科

头孢噻肟钠(Cefotaxime sodium),是一种有机化合物,化学式为C16H16N5NaO7S2,为第三代半合成头孢菌素,对革兰阳性菌的作用不如头孢唑林,肠球菌对本品耐药,对耐青霉素的肺炎球菌无效,对革兰阴性菌有强大的杀菌活性,对大肠杆菌、流感杆菌、肺炎杆菌、奇异变形杆菌、沙门菌属的抗菌作用较头孢哌酮强,对脆弱拟杆菌作用弱或耐药,铜绿似单胞菌、阴沟肠杆菌对本品不敏感。
想要了解更多“头孢噻肟钠”的信息,请点击:头孢噻肟钠百科