一阶线性微分方程
的有关信息介绍如下:
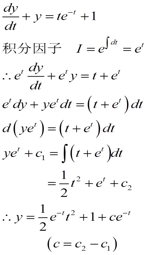
形如y'+P(x)y=Q(x)的微分方程称为一阶线性微分方程,Q(x)称为自由项。一阶,指的是方程中关于Y的导数是一阶导数。线性,指的是方程简化后的每一项关于y、y'的指数为1。
想要了解更多“一阶线性微分方程”的信息,请点击:一阶线性微分方程百科

形如y'+P(x)y=Q(x)的微分方程称为一阶线性微分方程,Q(x)称为自由项。一阶,指的是方程中关于Y的导数是一阶导数。线性,指的是方程简化后的每一项关于y、y'的指数为1。
想要了解更多“一阶线性微分方程”的信息,请点击:一阶线性微分方程百科