和差化积
的有关信息介绍如下:
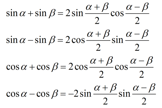
和差化积公式:即将三角函数的和或差经过适当变换化为三角函数的乘积的形式,是三角函数中的一组恒等式。常说的和差化积公式指正弦和余弦的和差化积公式。该公式是对一次三角函数实行,对高次三角函数,可用降幂方法降为一次;对同名三角函数方可实行,异名三角函数的情况可用诱导公式化为同名。此外,在一些情况中,我们还有可能用到正切、余切的和差化积公式。
想要了解更多“和差化积”的信息,请点击:和差化积百科

和差化积公式:即将三角函数的和或差经过适当变换化为三角函数的乘积的形式,是三角函数中的一组恒等式。常说的和差化积公式指正弦和余弦的和差化积公式。该公式是对一次三角函数实行,对高次三角函数,可用降幂方法降为一次;对同名三角函数方可实行,异名三角函数的情况可用诱导公式化为同名。此外,在一些情况中,我们还有可能用到正切、余切的和差化积公式。
想要了解更多“和差化积”的信息,请点击:和差化积百科